the film
forum
library
tutorial
contact

Ocean-bound Salmon Faced
'Dismal' Conditions this Year

Staff
Columbia Basin Bulletin, October 27, 2015

Graphic: Steelhead and Chinook salmon survival of downstream migration through the Lower Snake River. COLUMBIA RIVER -- Abnormally low and warm water this spring contributed to one of the worst seasons for juvenile Chinook and steelhead survival through Snake and Columbia river dams in the past 17 years.

That's the conclusion of a preliminary report of passage survival through the dams produced by the NOAA Fisheries Northwest Science Center in Seattle. A final report, expected early in 2016, could adjust the findings of this preliminary study by up to 4 percent.

In the Snake River, water temperatures were at record highs, but river flows were near record lows.

Spill at the Snake River dams by volume, the amount of water actually spilled, was close to average, but the percent of flow spilled was high.

Juveniles did not move down through the power system this year as fast as they had in recent years, but the time generally exceeded travel times from years prior to spillway weirs at the dams and the requirement for more spill. Transportation of juveniles was also low.

"In terms of flow, 2015 was most like 1994, 2001, and 2007. In terms of spill percentages, 2015 was most like 2008 and 2010. In terms of water temperature, there are no comparable years in our times series," the report said of Snake River juvenile survival. The 17-year time series is 1998 to 2015.

The report was sent in a letter to Ritchie Graves, chief of NOAA's Columbia Hydropower Branch, from Richard Zabel at the Science Center September 10, 2015. To access the letter, go to here.

The work is funded by the Bonneville Power Administration.

NOAA Fisheries PIT-tagged 19,088 river-run hatchery steelhead, 10,752 wild steelhead, and 5,379 wild yearling Chinook salmon for release. The PIT-tagged yearling Chinook salmon were released from the seven Snake River Basin hatcheries: Dworshak, Kooskia, Lookingglass/Imnaha Weir, Rapid River, McCall/Knox Bridge, Pahsimeroi, and Sawtooth every year from 1993 through 2015 (except Pahsimeroi in 1996), the report says.

Graphic: Steelhead and Chinook salmon survival of downstream migration through the Federal Columbia River Power System. Study details

Here is what NOAA found:

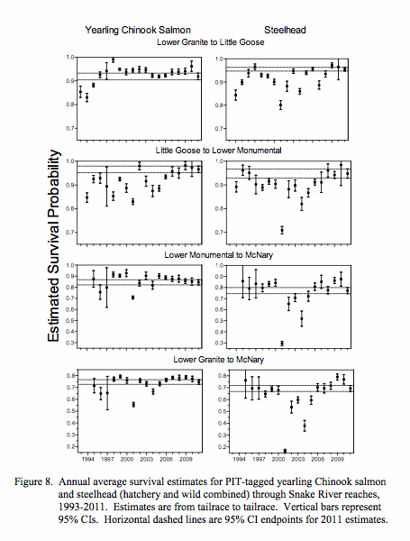
The combined yearling Chinook salmon survival estimate from a trap upstream of Lower Granite Dam to the Bonneville Dam tailrace was 39.7 percent, well below the long-term average of 49.5 percent and the third lowest of the past 17 years.

In fact, it is the lowest estimate for Chinook in that reach since 2004 when the percentage was 35.3 percent. The worst passage survival in the past 17 years was in 2001 when just 26.6 percent of yearling Chinook survived.

Survival from Lower Granite to McNary Dam was 69.4 percent and from McNary to Bonneville was 62.9 percent.

For wild Snake River yearling Chinook, survival from the Lower Granite trap to Bonneville dam was 38.4 percent.

Steelhead from the Snake River fared even worse.

The combined hatchery and wild steelhead survival estimate from the trap to the Bonneville Dam tailrace was 36.1 percent, below the 17-year average of 45.1 percent and the fourth lowest of the 17 years.

Mean estimated survival for steelhead from Lower Granite Dam tailrace to McNary Dam tailrace was 62.3 percent, from McNary Dam tailrace to Bonneville Dam tailrace 66.3 percent and from Lower Granite Dam tailrace to Bonneville Dam tailrace 41.3 percent.

Several of the past 17 years had worse survival for hatchery and wild steelhead. The worst year was in 2001 when just 3.8 percent of steelhead survived through the Snake and Columbia river dams. In 2002 survival was 23.4 percent and 2003 survival was 28.8 percent.

For wild Snake River steelhead, estimated survival from the Snake River trap to the Bonneville Dam tailrace was 30.1 percent.

Survival for hatchery yearling Chinook salmon from the upper Columbia River released near Wells Dam from the McNary Dam tailrace to the Bonneville Dam tailrace was 87.0 percent, much better than their Snake River counterparts and better than the 17-year mean of 80.9 percent.

The worst passage year for hatchery yearling Chinook from the upper Columbia River was in 2004 when 61.8 percent of juveniles survived.

Survival for hatchery steelhead from the upper Columbia River from the McNary Dam tailrace to the Bonneville Dam tailrace was 57.0 percent, far lower than the 17-year mean of 75 percent and the worst survival of the past 17 years. The study says that it was not possible to measure survival of the fish upstream of McNary Dam because of limited PIT-tag detection capabilities at Mid-Columbia River PUD dams.

Survival of Snake River sockeye salmon (hatchery and wild combined) from the tailrace of Lower Granite Dam to the tailrace of Bonneville Dam was 37.3 percent, below the 17-year mean of 42.4 percent. The worst survival of sockeye juveniles was in 2001 when just 2.2 percent survived the Lower Granite to Bonneville migration. The best survival was in 2006 when 82 percent of the fish survived. Last year's survival estimate was 71.3 percent.

Estimated survival of Columbia River sockeye salmon (hatchery and wild combined) from the tailrace of Rock Island Dam to the tailrace of Bonneville Dam was 34.0 percent. The 17-year mean is 50.6 percent, with the lowest survival in 2002 with 15.2 percent and the highest in 1998 with 100 percent.

Extreme conditions

Low survival this year for both Chinook salmon and steelhead "were associated with a set of extreme environmental conditions and unusual operational conditions compared to past years," the report says.

Mean flow at Little Goose Dam in 2015 during the main migration period (April 1 through June 15) was 53,000 cubic feet per second, well below the 17-year mean of 90.2 kcfs.

The only year of the 17 years with lower flow was 2001 with a mean of 48.9 kcfs. Daily flow values were below long-term daily means for every day in the main migration period.

Flow in the Snake River during the 2015 spring was "consistently lower than what we've seen in quite some time," said Paul Wagner, NOAA Fisheries at this week's TMT meeting. "And, the temperature is at the top and was higher from the get-go."

Water temperature measured at Little Goose Dam spiked a couple of times in May and early June to over 19 degrees C (66.2 degrees Fahrenheit). Temperatures continued to rise even higher through the summer.

Mean water temperature at Little Goose Dam during the migration period was 13.1 degrees C (55.6 degrees Fahrenheit). The 17-year mean temperature is 11.1 degrees C (52 degrees Fahrenheit). 2015 was the warmest year of the time period. Daily water temperatures were above the long-term daily means on most days, with differences becoming greatest in late May and early June, according to the study.

Even with low flows, the amount of water spilled at Snake River dams was near the 17-year mean early in the spring, but dropped beginning in the middle of May. Mean spill at the dams was 19.9 kcfs, compared to the 17-year mean of 25.7 kcfs.

However, spill as a percent of river flow was the highest in 17 years: 37.7 percent of the river was spilled this year compared to the 17-year mean of 25.9 percent.

The spill percentage at Lower Monumental Dam reached 49 percent at one point due to the fact that spill at the dam is a fixed amount of water and generally will not vary with flow.

While travel time through the hydro system for the smolts was slower than 2008 through 2014, it was faster than the 17-year average and faster than most low flow years, the report says. The difference is that earlier years had extended periods with no spill and most dams had limited surface bypass structures or none at all.

The percentage of fish transported (non-tagged wild and hatchery spring-summer Chinook salmon) was 11.4 percent for wild spring-summer Chinook and 13.6 percent for hatchery fish.

For steelhead, the transportation estimates are 12.4 percent for wild and 13.9 percent for hatchery smolts. These estimates represent the percentage of smolts that arrived at Lower Granite Dam that were subsequently transported, either from Lower Granite Dam or from one of the downstream collector dams, the study says.

Both were the lowest of the 17 years, according to the study.

"This is partly due to the arrival timing of both species in relation to start dates of transportation, and partly due to very low collection probabilities at the collector dams during transportation operations. In 2015, collection for transportation began on 1 May at Lower Granite and Little Goose Dams and 2 May at Lower Monumental Dam. We estimate that 58 percent of the annual total passage of wild yearling Chinook and 58 percent of hatchery yearling Chinook passed Lower Granite Dam before transportation began," the study says. Some 48 percent of steelhead had passed Lower Granite Dam before collection for transportation began.

Related Pages:
Count the Fish by Government Accounting Office, Salmon and Steelhead Recovery Efforts
Warm Water Blamed for Huge Columbia River Sockeye Die-Off by John Harrison, NW Power & Conservation Council, 7/31/15
Watch Warm Water Wreaks Havoc on Columbia River Fish by John Harrison, NW Power & Conservation Council, 8/12/15
Dworshak Dam Releases Reduced to Conserve Water for Fish Returning August, September by Staff, Columbia Basin Bulletin, 8/7/15
Biologists Bring Sockeye into Idaho on Trucks to Get Them Out of Hot Water by Rocky Barker, Idaho Statesman, 7/17/15
Sockeye Salmon Suffer Infections in Warm Columbia River System by Rich Landers, Spokesman-Review, 7/17/15

Related Sites:
Idaho Department of Fish and Game Snake River Sockeye Program
NOAA Fisheries Manchester Laboratory Sockeye Program



Staff
Ocean-bound Salmon Faced 'Dismal' Conditions this Year
Columbia Basin Bulletin, October 27, 2015

See what you can learn

learn more on topics covered in the film
see the video
read the script
learn the songs
discussion forum
salmon animation